Whether you’re a snooker agnostic or a diehard devotee of the green baize, these statistical observations on snooker will add an extra layer of enjoyment to the 2026 World Snooker Championship, taking place from 18 April to 4 May 2026 at the Crucible Theatre in Sheffield, UK.
William Kew was a 16th century London pawnbroker who, according to legend, had the habit of taking down the three balls hanging outside his shop and pushing them about on his counter or the ground using a yardstick – for reasons best known to himself. The stick became known as a ‘kew’ which, in turn, became a ‘cue’, and ‘Bill-yard’ became ‘billiards’, now an umbrella term for cue sports. Other etymological explanations are based on Medieval Latin or Old French. The game of billiards was certainly known in Shakespeare’s time, as evidenced by the quote “Let’s to billiards” in Act 2 Scene 5 of Antony and Cleopatra – although this is an anachronism, because billiards was not known in Ancient Egypt (like the anachronistic striking clock in Julius Caesar).

1874 print of two gentlemen fighting over a billiards table. Currier & Ives., Public domain, via Wikimedia Commons
Over time, a variety of versions of the game appeared using differing numbers of balls and differing tables. Carom billiards played on tables without pockets is popular in continental Europe and some Asian countries, while pool is particularly popular in America. The origin of snooker is more reliably known: it was developed in the second half of the 19th century by British Army officers stationed at Jubbulpore (now Jabalpur) in India. It is now played in over 90 countries and is particularly popular in the UK, China, Thailand, and Australia. You’ll find all the rules here.
As six-time world champion Steve Davis once said, “Snooker is a game of chess with balls”, and if you’re a mathematically minded sports fan who is yet to get hooked, what are you waiting for? The following analysis highlights some curious statistical and mathematical quirks about this niche but intensely dramatic sport.
The peculiar thoroughness of early snooker world championships
A game of snooker is known as a ‘frame’. A snooker match is a series of frames – for the world championships, it’s 35 frames. The player who wins the most frames wins.
From 1979 to 2024, the number of frames needed to win the World Snooker Championship has been 18; that is, it has been the best of 35 frames. Each year the winner won 18 frames and the total number of frames played varied from 21 in 1989 (when Steve Davis beat John Parrot 18-3) to 35, when there was a deciding final frame with the final score at 18-17 (in 1985, 1994, and 2002).
In earlier years the pattern was different:
| Year | Winner | Loser | Score | Venue |
| 1939 | Joe Davis | Sydney Smith | 43 – 30 | Thurston’s Hall, London |
| 1940 | Joe Davis | Fred Davis | 37 – 36 | Thurston’s Hall, London |
There were different winning numbers of frames (43 and 37) but the same number of frames played (73).
There was no competition from 1941 to 1945.
Then:
| Year | Winner | Loser | Score | Venue |
| 1946 | Joe Davis | Horace Lindrum | 78 – 67 | Royal Horticultural Hall, London |
| 1947 | Walter Donaldson | Fred Davis | 82 – 63 | Leicester Square Hall, London |
| 1948 | Fred Davis | Walter Donaldson | 84 – 61 | Leicester Square Hall, London |
| 1949 | Fred Davis | Walter Donaldson | 80 – 65 | Leicester Square Hall, London |
Again, different winning numbers of frames (78, 82, 84, 80) but the same number of frames played (145).
After that:
| Year | Winner | Loser | Score | Venue |
| 1950 | Walter Donaldson | Fred Davis | 51 – 46 | Tower Circus, Blackpool |
| 1951 | Fred Davis | Walter Donaldson | 58 – 39 | Tower Circus, Blackpool |
Yet again, different winning numbers of frames (51 and 58) but the same number of frames played (97). There was a similar pattern from 1952 to 1957 when all 73 frames were played including the dead frames.
Curiouser and curiouser – but what is the explanation for the strange patterns between 1939 and 1957? Did they really have different winning margins every year; and did the loser always coincidentally win the number of frames to make identical totals for the numbers of frames played? Not very likely. So using the Sherlock Holmes principle that when you have eliminated the impossible (or the ridiculously improbable) whatever remains must be the truth.
The answer is that they played every scheduled frame, even when the winning margin had been reached. As simple or, if you prefer, as complicated as that. For example, in 1946 Joe Davis and Horace Lindrum were playing the best of 145 frames. Davis won 73 frames (the winning margin) when Lindrum had won 62; but the remaining 10 frames were still played. Can you imagine John Parrot being told in 1989 that he had lost but that he still had to play the remaining 14 frames?
Competitive games tend to fall into two categories:
- the game lasts for a fixed amount of time and the player or team with the better score when the game has finished wins (a draw is possible): for example, football, hockey and rugby.
- a game is won when a player or team reaches an agreed score at which point the game is over: for example; sets in tennis, points in chess – or frames in snooker.
The World Snooker Championship was not held from 1958 to 1964 because of a decline in the popularity of the sport. From 1969 onwards, the final has been played over differing numbers of frames (fixed at 35 since 1979) but with the match over when one player has reached the winning margin, and the dead frames not being played.
Those early era snooker bosses missed a trick, though. Wouldn’t it have been more fun, instead of stopping at 145 frames, to keep going to 147? That, after all, is a magic number in the snooker world – the highest possible break (points in one go) a player can achieve in a single frame (without a foul or an extra free ball), also known as a ‘maximum break’ (watch Ronnie O’Sullivan’s fastest 147 in history here).

Ronnie O’Sullivan in 2017 at The Eleven 30 Series in Sofia, Bulgaria. Credit: Georgid/Shutterstock
You’ll never guess what the most common century break is…
As mentioned above, a ‘break’ in snooker is the total points accumulated in one turn at the snooker table. A ‘century break’ is a score of at least 100 points or more achieved in a single turn at the table.
If all centuries made in professional tournaments are ranked according to frequency:
– what size break would be the commonest?
– what size break (or breaks) would be the least common?
– what size break would be the second-least common?
The frequency of centuries according to size forms an approximately (but not strictly) monotonic decreasing series.
The commonest century is exactly is 100.
The least common are 153 and 148. Both have been made once. And yes, we did say earlier that 147 was the maximum break – but it is theoretically possible to score higher even than that if your opponent fouls, and a free ball is given.
The 153 break was made by Ronnie O’Sullivan in the 2026 World Open. After a foul he took a free ball green (as a red); black as the colour; 15 reds with 13 blacks, 2 pinks, then the colours. The 148 break was made by Jamie Burnett in the 2004 UK Championship. After a foul he took a free ball brown (as a red); brown as the colour; 15 reds with 12 blacks, 2 pinks, and a blue; then the colours. Other 147-pluses have been made, but in non-tournament play.
After the unique 153 and 148 breaks the next least common is 146.
The frequency of snooker breaks in professional tournaments
| Break | Frequency | Break | Frequency | Break | Frequency | |||
| 1 | 100 | 2566 | 18 | 116 | 733 | 35 | 136 | 598 |
| 2 | 101 | 2099 | 19 | 127 | 712 | 36 | 124 | 596 |
| 3 | 102 | 1899 | 20 | 117 | 704 | 37 | 137 | 573 |
| 4 | 104 | 1728 | 21 | 118 | 679 | 38 | 126 | 538 |
| 5 | 103 | 1647 | 22 | 128 | 676 | 39 | 138 | 447 |
| 6 | 105 | 1529 | 23 | 135 | 669 | 40 | 140 | 441 |
| 7 | 106 | 1278 | 24 | 131 | 655 | 41 | 139 | 366 |
| 8 | 107 | 1150 | 25 | 134 | 653 | 42 | 141 | 333 |
| 9 | 108 | 1125 | 26 | 122 | 651 | 43 | 142 | 252 |
| 10 | 109 | 1032 | 27 | 119 | 648 | 44 | 147 | 243 |
| 11 | 110 | 1023 | 28 | 130 | 640 | 45 | 143 | 203 |
| 12 | 112 | 948 | 29 | 123 | 638 | 46 | 144 | 102 |
| 13 | 113 | 872 | 30 | 129 | 637 | 47 | 145 | 84 |
| 14 | 111 | 871 | 31 | 132 | 621 | 48 | 146 | 39 |
| 15 | 115 | 810 | 32 | 121 | 615 | 49 | 148 | 1 |
| 16 | 114 | 803 | 33 | 133 | 605 | 50 | 153 | 1 |
| 17 | 120 | 774 | 34 | 125 | 601 |
Source: CueTracker, 3 April 2026
It’s interesting that 146 is less common than a 147; there have been just over six times as many maximums as 146s.
A likely reason is that, at the start of a frame, the pink (6 points) tends to get buried in a cluster of reds so that if a player runs out of position on the black (7 points) they will usually go down for the blue (5 points) or a baulk colour (one of the three lower-value coloured balls). After about 10 reds and blacks have been potted and the pink becomes free a player will probably have effectively won the frame and will just concentrate on the black to go for a maximum.
The distribution of century breaks is similar in the amateur game, although the frequencies are much smaller – unsurprising, as there are fewer tournaments and the players are not as skilled in break building. Again the commonest century is exactly 100; and a 146 break is less common than a 147 (forty 147 breaks and three 146 breaks).
Is the ‘Crucible Curse’ real?
The ‘Crucible Curse’ refers to the fact that no first-time winner of the World Snooker Championship has retained the title since the tournament moved to Sheffield’s Crucible Theatre in 1977. Beginning with the 1979 champion Terry Griffiths, who lost in the second round of the 1980 event, 20 first-time world champions have failed to defend their titles. Zhao Xintong, first-time winner in 2025, can attempt to break the Curse in the 2026 Championship.

Zhao Xintong at the Paul Hunter Classic in 2016. Credit: Bill da Flute, CC BY-SA 3.0, creativecommons.org/licenses/by-sa/3.0, via Wikimedia Commons
Four players have won consecutive titles after having first won the Championship in an earlier year: Steve Davis, Stephen Hendry, Ronnie O’Sullivan, and Mark Selby.
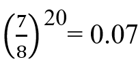
All but three of the first time winners have been ranked in the top 16 (the top 16 automatically qualify for the tournament). The three low-ranked players were Terry Griffiths in 1979, Shaun Murphy in 2005, and Zhao Xintong in 2025. But how likely is this sequence of failures? If it is assumed, for simplification, that each of the 16 top-ranked players (including the current world champion) have an equal chance of winning the World Championship, then the probability of someone other than the current champion winning the event for 20 years in a row is
![]()
…which is only mildly surprising (if that).
If (instead) the assumption was that each of the 8 top-ranked players have an equal chance of winning the world championship; then the probability of someone other than the current champion winning the event for 20 years in a row would be
![]()
…roughly the same as the probability of picking an ace from a shuffled pack.
What is the byes algorithm?
Most snooker tournaments start with the number of entrants as a power of two; often 32 or 64 (16 in the Masters). So the matches work out nice and conveniently down to the final.
But smaller local competitions (for example, a club championship) will not usually have a convenient power of two for the number of entrants. So a number of byes are allocated, usually at random; that is, a number of players progress to the next round without playing (usually byes are awarded to the highest ranked competitors). For example, if 13 players enter a competition 3 players would be given byes and the remaining 10 players would play in the first round with the 5 winners progressing to the next round. These 5 players would join the 3 players with byes in the second round, resulting in the convenient number of 8 players.
But how is the number of byes calculated? There is a simple rule: the number of byes equals the number of players subtracted from the next highest power of two.
For example, if there are 25 players the next highest power of two is 32, so the number of byes equals (32 – 25). These 7 players automatically progress to the next round and the remaining 18 players play 9 matches in the first round with the 9 winners joining the 7 byes in the second round (that is, 16 players).
Cue the conclusions
It can be confidently asserted that there will never be a return to the practice of playing all frames after a winning margin has been passed – neither the players nor the spectators would tolerate it. Century breaks are regularly being made but, having compared the historical data, it appears unlikely that the overall pattern would change even though the numbers are continually increasing. And it seems likely that the Crucible Curse will eventually be broken – the current 2025 world champion, Zhoa Xintong, has a good chance.
Bonus facts
- The number 147 is important in snooker. 1, 4, 7 is the start of an interesting sequence: that is, each number is larger than the previous number and is spelled with one more letter – so the next are 11 and 15 and 19 and …
- 153 is one of just two unique century breaks recorded in snooker history. 153 also equals the sum of the cubes of its digits and also equals the sum of the first five factorials. 153 = 1+125+27 and 153 = 1! +2! + 3! + 4! +5!
- 146, the next least common century break after the two unique ones, itself has a unique property – it is the only number which equals the sum of the positions in the alphabet of the letters when its name is spelt out.

Alan Jackson retired in 2018 after 27 years as a statistician for the Welsh government. Before that, he researched artificial intelligence for Ferranti. He also used to play snooker for the Penarth British Legion.
You might also like: Home advantage: what’s changed since Covid?
